趣虾吧
首页
游戏
应用
编辑推荐
更多
热门游戏
{mouseover('gameM1')}" @mouseout="()=>{mouseout('gameM1')}">
高能英雄
4.7
明日之后
3.2
崩坏3
4.7
皇室战争
4.7
巅峰极速
4.7
特色游戏分类
动作冒险
角色扮演
休闲益智
经营策略
热门应用
{mouseover('gameM2')}" @mouseout="()=>{mouseout('gameM2')}">
夸克
4.1
一键锁屏
3.5
同城知趣聊天
5
聊聊吧
5
有道翻译官
4.8
特色应用分类
生活
购物
视频
音乐
系统
语言选择
English
中文版
数学之翼
平顶山市灵树科技有限公司
安全可信任的
988
下载量
14.65M
大小
2.9.1
最低安卓版本
2.9.1 (1725995029) 最新版本
0 (0 评论)
第一步:手机打开微信,
第二步:打开扫一扫,
第三步:扫码二维码
下载
{mouseover('img1')}" @mouseout="()=>{mouseout('img1')}">
详情
评论
版本
信息
数学之翼简介
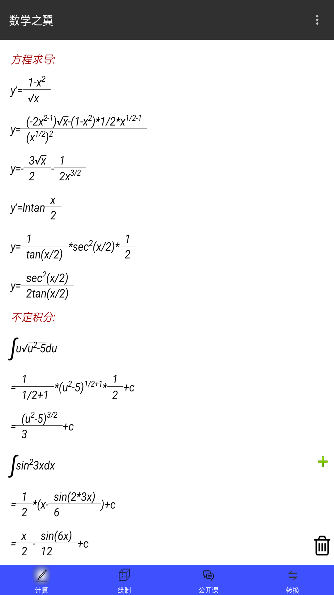
数学之翼是一款通用的数学计算工具,它为用户打造了一个功能十分强大的综合计算环境。在这里,公式编辑的速度如同编辑文本一样快,它还能够自动识别用户的计算意图,绘制具有高自由度的方程曲线和曲面,并且分步输出计算过程。
这款工具可以执行数值计算、代数计算以及图形曲线绘制等操作。它能以音频和文字等形式对正在进行的计算工作添加注释,还可以将计算结果保存为文件或者发布成公开课。这极大地拓宽了计算工具的应用范围,凭借简单易学的操作和强大的计算能力,受到了广大用户的喜爱与好评。以下是其更多功能的简单列举:
1. 能够编辑和计算任意复杂程度的数学公式。
2. 可进行实数、复数和超大数的科学计算。
3. 支持变量的赋值、查询以及代入计算。
4. 可以完成多项式计算。
5. 能够求解任意方程式(组)。
6. 在高等代数方面,可进行极限求值、求导数、定积分求值、求微分方程和求不定积分方程等操作。
7. 在线性代数领域,可进行行列式求值、矩阵计算等操作。
8. 可以绘制任意参数方程和极坐标方程在直角坐标和极坐标下的曲线。
9. 支持平面几何、立体几何图形通过触控或者命令行进行绘制。
10. 能对常用几何体及其变体进行定义、绘制,并且计算其长度、面积、体积等数值。
11. 可以对坐标系内的几何体进行平移、旋转操作。
12. 具备完善的数制单位转换功能。
13. 融合高级语言功能,实现变量类型自动化。
类似的应用
WiFi万能钥匙
4.4
百度极速版
4.1
UC浏览器
4.5
百度
4.4
QQ浏览器
4.3
墨迹天气
4.6
迅雷
4.8
日历
1.8
这些评论和分数来自于应用商店用户.
0
0 评论
最新版本
2.9.1
1725995029
14.65M
Android 2.9.1
具备人工智能的数学计算工具
下载
良好的应用程序保证
此应用程序通过了病毒、恶意软件和其他恶意攻击的安全测试,不包含任何威胁.
数学之翼 - 应用信息
最新版本:
2.9.1
包名:
com.pdshjf.honors
安卓兼容性:
2.9.1
开发者:
平顶山市灵树科技有限公司
隐私政策:
https://www.mathcompute.cn/App/PrivacyPolicy.html
名称:
数学之翼
大小:
14.65M
下载量:
988
版本:
2.9.1
发布日期:
1725995029
包名:
com.pdshjf.honors
开发者:
平顶山市灵树科技有限公司
标签:
其他,计算器
简介:
具备人工智能的数学计算工具
分享到微信朋友圈
打开微信“扫一扫”,再点击右上角按钮分享。